澳门新葡京娱乐城--澳门百家乐官网

En

物理與光電工程學院李朝紅團隊利用貝葉斯量子參數估計實現了原子鐘的高精度鎖定

來源:物理與光電工程學院 發布時間:2024-10-29 10:31 點擊數: Views

近日,深圳大學量子精密測量研究所和物理與光電工程學院的李朝紅團隊利用貝葉斯量子參數估計實現了冷原子相干布居數囚禁鐘的閉環鎖定,主要結果于2024年10月23日發表在美國物理協會Physical Review Applied上,并選為編輯推薦文章。編輯認為,這一工作為原子鐘鎖定提供了一種高精度方法,并且在基于干涉的量子傳感器件領域存在極有前景的應用。

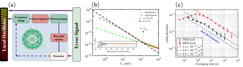
李朝紅團隊基于自主搭建的冷銣原子相干布居數囚禁鐘,利用貝葉斯量子參數估計首次在積分時間尺度上實現了海森堡標度【T^(-1)】的鐘躍遷頻率測量,并用于此原子鐘的閉環鎖定。團隊研究人員通過設計適用于原子鐘鎖定的貝葉斯量子參數估計算法【圖(a)】,利用具有指數增長積分時間的拉姆塞干涉測量序列,同時在貝葉斯迭代過程中自適應調節本地振蕩器的頻率,實現鐘躍遷頻率的測量。經過迭代,貝葉斯估計值趨于鐘躍遷頻率,在積分時間到達最大相干時間前,頻率測量的靈敏度遵循海森堡標度【圖(b)】。進一步,利用基于貝葉斯量子參數估計的鐘躍遷頻率測量,將本地振蕩器頻率直接鎖定在原子躍遷頻率上,實現了原子鐘的貝葉斯閉環鎖定。相對于傳統的PID鎖定,利用貝葉斯量子參數估計鎖定的原子鐘的穩定度提高了5.1(4)dB【圖(c)】。相比美國國家標準與技術研究院報道的穩定度1.3*10^(-11)/τ^(1/2)【Appl. Phys. Lett. 111, 224102 (2017)】、英國斯特拉斯克萊德大學報道的穩定度2*10^(-11)/τ^(1/2)【Optics Express 27, 38361 (2019)】和中國計量科學研究院報道的穩定度2.4*10^(-11)/τ^(1/2)【Chin. Phys. B 31, 043201 (2022)】,李朝紅團隊利用貝葉斯量子參數估計得到的穩定度為4.3*10^(-12)/τ^(1/2),是目前冷原子相干布居數囚禁鐘的最高穩定度。此外,基于貝葉斯量子參數估計的原子鐘鎖定對技術噪聲具有極好的魯棒性。

該成果以“Atomic clock locking with Bayesian quantum parameter estimation: Scheme and experiment”為題發表在Physical Review Applied上,深圳大學為第一單位和通訊作者單位,深圳大學助理教授韓成銀、中山大學博士生馬翥和湖北師范大學講師邱宇翔為共同第一作者,深圳大學李朝紅教授、鹿博副教授和中山大學黃嘉豪副教授為共同通訊作者。該研究得到了國家自然科學基金委員會、科技部和廣東省科技廳等機構的資助。

論文鏈接:https://journals.aps.org/prapplied/abstract/10.1103/PhysRevApplied.22.044058

适合属虎做生意的名字| 赌博百家乐经验| 模拟百家乐官网的玩法技巧和规则 | 百家乐视频裸聊| 金宝博188| 赌博百家乐探讨| 百家乐官网平注法攻略| 网上百家乐官网真实吗| 真人游戏机| 网上赌百家乐官网的玩法技巧和规则 | 百家乐官网法则| 南京市| 威尼斯人娱乐场怎么样| 百家乐官网统计软件| 百家乐官网玩法的秘诀| 百家乐官网1元投注| 赌场风云剧情介绍| 真人百家乐试玩游戏| 澳门百家乐官网娱乐网| 瑞丰娱乐| 澳门百家乐怎么玩| 百家乐全自动分析软件| 百家乐官网任你博娱乐场| 大发888娱乐场下载客户端| 澳门百家乐规则| 南宁百家乐官网的玩法技巧和规则 | 百家乐官网美女视频聊天| 大发888娱乐城shouye| 玩百家乐是否有技巧| 百家乐官网长胜攻略| 太阳城百家乐官网的破解| 大发888手机版下载安装到手| 缅甸百家乐龙虎斗| 贵族国际娱乐城| 大发888-大发娱乐城| 真人百家乐娱乐好玩| 广州百家乐官网赌场娱乐网规则 | 利都百家乐国际娱乐网| 凯旋门百家乐游戏| 百家乐官网玩法官网| 美女百家乐官网的玩法技巧和规则|